关闭
1、双代号网络图中虚工作的特点有( )。
A. 虚工作要占用时间
B. 虚工作不消耗资源
C. 实际工作中不存在虚工作
D. 虚工作用虚箭线表示
E. 虚箭线和实箭线不可以交叉
答案:B,C,D
解析:选项A错误,选项B正确,虚工作既不消耗时间,也不消耗资源 选项C、D正确。在双代号网络图中,有时存在虚箭线,虚箭线不代表实际工作,称为虚工作。虚工作主要用来表示相邻两项工作之间的逻辑关系。 选项E错误,应尽量避免网络图中工作箭线的交叉。当交叉不可避免时,可以采用过桥法或指向法处理。(可以交叉)
2、在双代号网络图中,如果某节点既有指向它的箭线,又有背离它的箭线,那么该节点称为( )。
A. 起点节点
B. 中间节点
C. 终点节点
D. 所有节点
答案:B
解析:一般表示一项任务或一个项目的开始,起点节点即网络的第一个节点,只有外向箭线;终点节点即网络图的最后一个节点只有内向箭线。一般表示一项任务或一个项目的完成,中间节点即网络图中间的节点既有内向箭线,又有外向箭线。
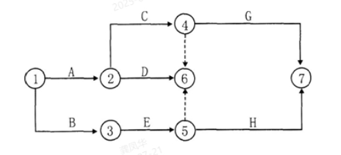
3、某分部工程双代号网络计划如下图所示,根据双代号网络计划的绘图规则,其作图错误问题是( )。
A. 节点编号不对
B. 逻辑关系不对
C. 有多个起点节点
D. 有多个终点节点
答案:D
解析:在该双代号网络图中,可以看出节点编号由小指向大,且只有一个起点,符合绘图规则要求,故选项A、C正确。由于没有说明,故不能笼统判断该双代号网络图中逻辑关系正确与否,选项B也正确。由于该双代号网络图节点6和节点7均为终点节点,故选D。
Copyright C www.longjiangedu.com All Rights Reserved 版权所有 龙匠教育 京ICP备2021037938号-1