关闭
2025年一级建造师《工程经济》第四章重点包括设备磨损类型与补偿方式、设备经济寿命的判断与计算、设备更新方案的比选原则,以及设备租赁方式、租赁费用构成与计算方法。需掌握磨损分类、经济寿命公式、沉没成本及附加率法租金计算,理解核心概念并准确代入数据解题。
考点一:设备磨损与补偿
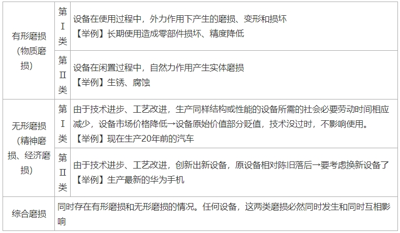
1、磨损类型

有形磨损和无形磨损都会引起设备原始价值的贬值。
注意关键词,有形磨损分别是“使用”和“闲置”导致的。无形磨损是“技术进步”引起的,区别是:第Ⅰ类由于技术进步导致生产效率提高,故原有设备会贬值,但原设备还可以继续使用。第Ⅱ类由于技术进步导致出现新设备可以替代旧设备。
2、补偿方式
1.局部补偿:大修理(有形磨损补偿)、现代化改装(无形磨损补偿)
2.完全补偿:更新(有形、无形磨损补偿)
若设备磨损太严重而无法修复,或虽然修复但其精度仍达不到要求的,则应该采取更新补偿方式。
考点二:设备经济寿命
1、设备寿命的类型

三种寿命的起始时间是一样的,结束时间有所不同。不同类型寿命的特点要记住。
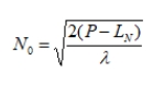
2、经济寿命的估算
概念理解:设备的经济寿命指的是包括实际价值(购置成本)和各年运行成本在内的设备年平均使用成本最低对应的使用年限。估算方法有两种:公式法与列表法,重点掌握公式法
公式法的计算:

式中:N0—经济寿命。λ—劣化值。P—目前实际价值。LN—第N年末的预计净残值。
【计算提示】考题一般有两种形式出现
(1)直接根据定义来计算,例如下表:

解析:年平均使用成本=平均年度年运行成本+平均年度资产消耗成本
年平均使用成本最小为第4年:58万,所以经济寿命为第4年
(2)直接对公式的考查,题干会给出相关数据,代入即可,故该公式必须记住。
考点三:设备更新方案的比选原则
有3条比选原则:
(1)只考虑未来发生的现金流量
(2)站在咨询者(第三方)的视角分析问题
(3)设备更新分析以费用年值法为主
沉没成本的计算:沉没成本=旧设备账面价值-当前市场价值=(旧设备原值一历年折旧费)一当前市场价值
【计算提示】一般考查题目会给出相关数据,直接带入即可。也有可能结合“折旧费”计算考查,则需要先计算历年折旧费。
考点四:设备租赁方式与优缺点
1、设备租赁方式(教材主要介绍:经营租赁和融资租赁)
只要是租赁,承租人只有设备的使用权,无所有权。

2、设备租赁的优缺点

考点五:设备租赁费用计算
包括:租赁保证金、担保费以及租金,重点考查租金的计算。
(1)租赁保证金:承租人交纳,一般按合同金额的一定比例计算,或是某一基期数的金额(如一个月的租金额)。
(2)担保费:承租人请担保人对租赁交易进行担保,承租人需要付给担保人一定金额的担保费。
(3)租金:计算主要有附加率法和年金法。重点掌握附加率法,年金法本质是考查资金的等值计算,如考试涉及,不能正确理解题意进行列式,或者计算过于复杂,建议跳过。
附加率法计算公式:

【计算提示】考题会给出相关数据,直接代入计算就好,公式必须记忆准确。
可理解为“设备价格的分摊”+“机会成本”+“附加要赚的钱”。
Copyright C www.longjiangedu.com All Rights Reserved 版权所有 龙匠教育 京ICP备2021037938号-1